
燃油蒸发排放控制系统
截止2021年中国燃油汽车保有量已经达到3.07亿辆。随着汽车的使用年限增加,燃油系统老化,容易出现泄漏现象。
燃油中含有(烃类物质)挥发性有机物,如果储存燃油的管道,有泄漏,汽油中的这些污染物就会散发到大气中,对环境造成污染,一两成有泄漏,没有太大影响。
因此将燃油蒸发排放控制系统的 密封性检测,加入机动车常规检测项目,势在必行!
根据国标GB18285-2018,燃油蒸发检测仅适用于 燃油汽车注册登记时检测,和年检时检测;不适用于新车下生产线、也不适用于油箱盖生产厂家检测。
国标GB18285-2018部分解读

国标GB18285-2018中第11条,明确规定此标准自2019年5月1日,开始实施。原文如下:
11 标准实施
11.1本标准自2019年5月1日起实施。在全国范围内进行的汽车环保定期检验应采用本标准规定的简易工况法进行,对无法使用简易工况法的车辆,可采用本标准规定的双怠速法进行。
11.1.1 新生产汽车下线检验自2019年11月1日起实施。
11.1.2注册登记、在用汽车 OBD检查自 2019年5月1日起仅检查并报告,自 2019 年11 月 1日起实施。
11.1.3全国范围实施本标准规定的限值b具体时间,国务院生态环境主管部门另行发布。
11.2自本标准实施之日起,现有相关地方排放检验标准废止。
11.3本标准由国务院生态环境主管部门监督实施。
*燃油蒸发检测系统,截止2022.07.13日还未正式开始实施。具体实施日期待生态环保部门宣布;
国标GB18285-2018中附录E2.1规定了详细的进油口压力测试标准:
E.2.1进油口压力测试
E.2.1.1燃油蒸发排放控制系统将初始压力稳定在3500+250Pa,保持120秒,如果压力损失超过了1500Pa,则测试结果不合格。燃油蒸发控制系统应与进油口和在燃油箱与活性炭罐之间的软管夹分离。
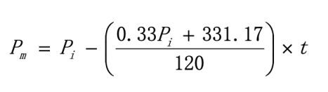
E.2.1.2快速通过在20至120秒测量期间,如果在任意时刻测得的压力超过下列公式的计算结果,可对压力测试做出快速通过的决定。


国标GB18285-2018中附录E2.2规定了详细的油箱盖测试标准:
E.2.2油箱盖测试
E.2.2.1压力损失测试
压力损失法在燃油液面顶部有1L的空间,启动时的压力规定为7000+250Pa,如果在10秒的测试过程中,压力损失超过了1500Pa,则油箱盖测试不合格。 E2.2.2泄漏流量测试
在压力为7500Pa的条件下,泄漏流量不应超过60mL/min,用流量方法测得的泄漏速率应当换算为标准状态(23℃,101.35kPa)下的泄漏速率。如果在 7500Pa的条件下,该泄漏速率超过了60mL/min,则油箱盖测试不合格。
地方政府对标准的优化

海瑞思的解决方案
检测使用的仪器:HG-01燃油蒸发检测仪

规格参数


1.差压检测方式,可排除环境温度对测试结果的稳定性产生的影响;
2.每个联接器的密封圈都有2W次寿命的保证;到期自动提醒更换密封圈;防止密封圈老化,给测试结果稳定性带来影响。
3.储气罐将气源压力存储在其中,避免外部气源波动对气源压力造成影响,且可将压缩空气的温度,降低到跟环境温度一样;
选择海瑞思的理由
HG-01优势
检测精度可达0.1pa;
检测数据可保存15年;
海瑞思燃油蒸发检测仪集成度高;
三大措施,保证测试结果稳定性高;
HG-01收益
高精度,再小的泄漏也能准确检测出来;
比国家标准保存期限还高5年,可存储尽可能多的数据,使得整个设备,后期越来越好用;
高度集成的设备带来,更好的使用体验,不用担心凌乱的布线,尽可能减少停机的可能性;
严格的要求,带来稳定的测试系统,尽可能降低测试过程中的返工次数。